Предмет: Алгебра, автор: ilox21lox

алгебра , все три пожалуйста

Приложения:

Ответы

Автор ответа: Kiruxa23
1

Ответ во вложении (см. приложение)

Приложения:
Автор ответа: Маряруся
1

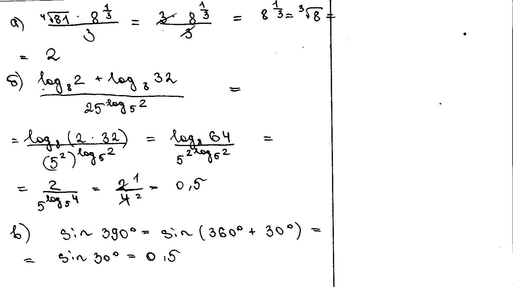
а).

 \frac{ \sqrt[4]{81} \times  {8}^{ \frac{1}{3} }  }{3}  =  \frac{3 \times 2}{3}  = 2

б).

 \frac{ log_{8}(2) +  log_{8}(32)  }{ {5}^{2 log_{5}(2) } }  =  \frac{ log_{8}(32 \times 2) }{ {2}^{2} }  =  \frac{ log_{8}(64) }{4}  =  \frac{2}{4}  = 0.5

в). используем формулу приведения

 \sin(390)  =  \sin(360 + 30)  =  \sin(30)  = 0.5

Похожие вопросы