Предмет: Алгебра,
автор: artyriartyr5
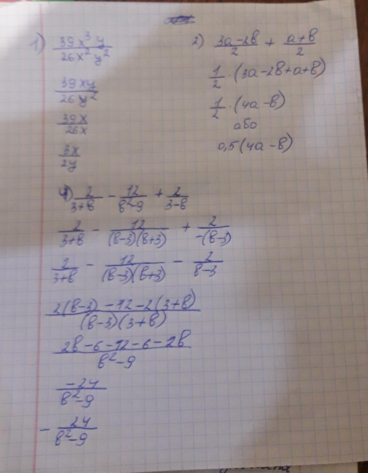
1,2 и 4 задание СРОЧНО
ЖАЮ 20 БАЛЛОВ
Приложения:
Ответы
Автор ответа:
1
Все))))
Готово)))
Удачі))))
Приложения:
Похожие вопросы
Предмет: Информатика,
автор: evgeniyyy921
Предмет: Другие предметы,
автор: kerin5512
Предмет: История,
автор: bojcukalina2011
Предмет: Обществознание,
автор: 7km