Предмет: Алгебра,
автор: Tufjeb2030
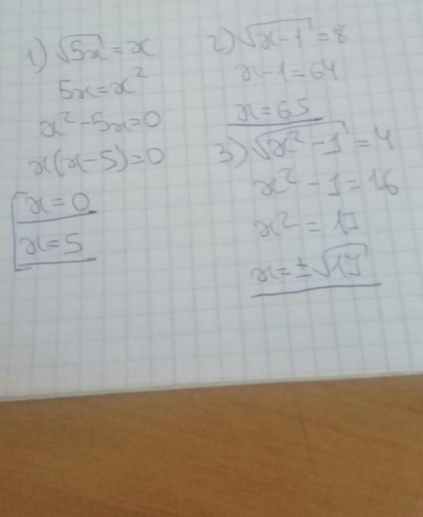
Помогите пожалуйста. 1)Корень5х=х.2)корень х-1=8.3)корень х в квадрате - 1=4
Ответы
Автор ответа:
0
на фото /%/%/%/%/%/%/%/%
Приложения:
Tufjeb2030:
Это же рациональное уравнения?
Автор ответа:
0
Ответ:
Объяснение:
корень 5х=х
5х=х^2
5x-x^2=0
x*(5-x)=0
x=0 и =5
_____________
корень х-1 =8
х-1 =64
х=64+1
х=65
______________
корень х в квадрате - 1=4
х в квадрате -1=16
х в квадрате=16+1
х в квадрате=17
х=корень из 17 и корень из -17
Похожие вопросы
Предмет: Английский язык,
автор: Kenkeva6084
Предмет: География,
автор: AnnLove7540
Предмет: Математика,
автор: sashesdub
Предмет: Алгебра,
автор: Умняшк6