Предмет: Алгебра,
автор: katyakorotkova38
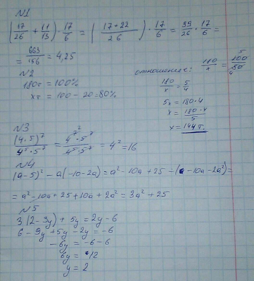
Решите пж очень надо!!!
Приложения:
Ответы
Автор ответа:
0
......................
Приложения:
Похожие вопросы
Предмет: Українська мова,
автор: darinamingeres
Предмет: Право,
автор: violetalike8
Предмет: Геометрия,
автор: railizmailov9
Предмет: Алгебра,
автор: dimaniskovskik3003
Предмет: Математика,
автор: аруу5