Предмет: Алгебра,
автор: farangeztashripova44
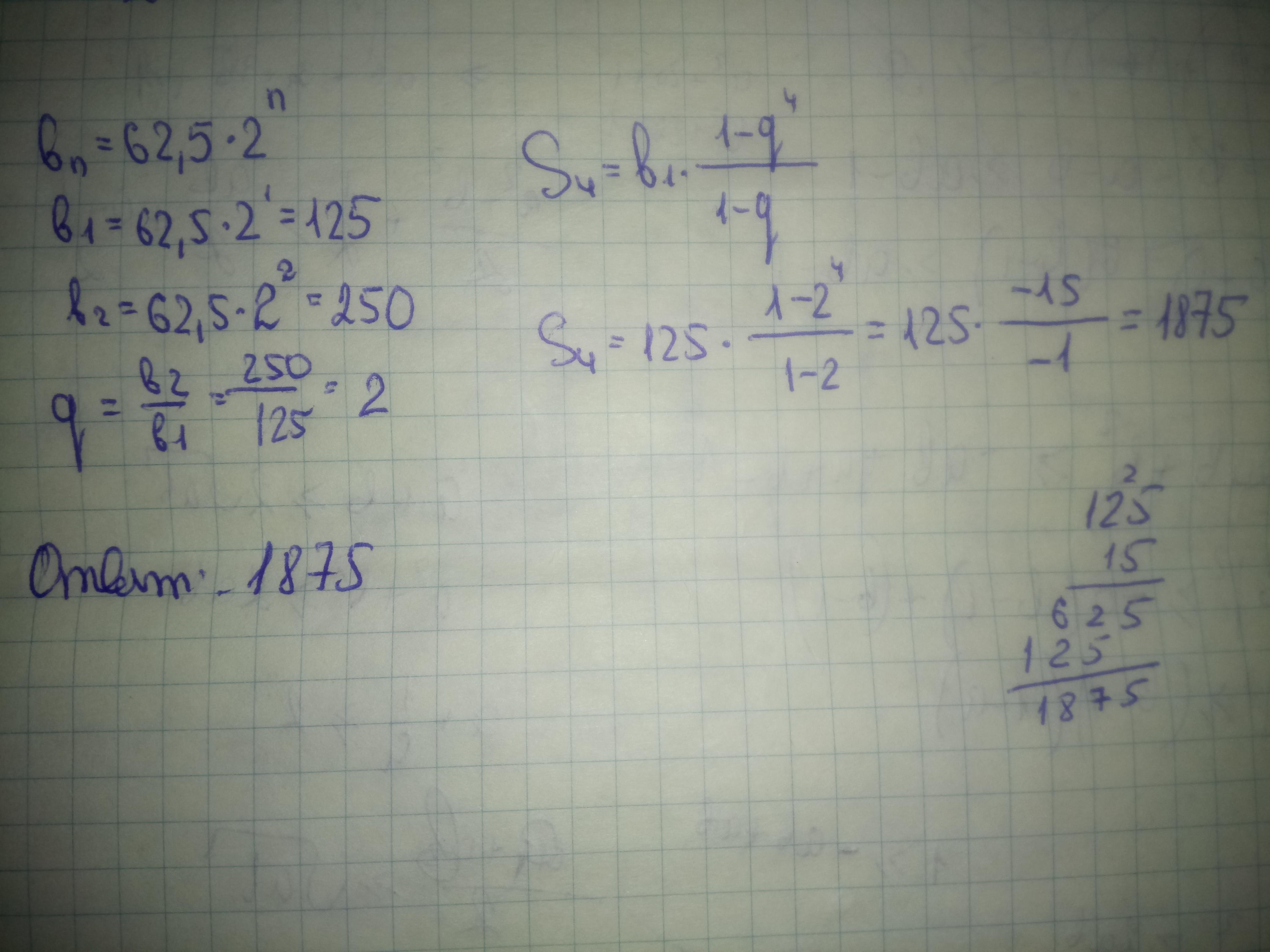
Геометрическая прогрессия задана условием bn = 62,5*2^n Найдите сумму первых 4 членов
Ответы
Автор ответа:
0
Відповідь: 1875
Пояснення: фото
Приложения:
Автор ответа:
0
Ответ: 1875
Объяснение:
b1=62,5×2=125
b2=62,5×4=250
q=b2:b1=2
S4=[b1(1-q⁴)]:(1-q) =[125(1-16)]:(1-2)=
=125×15=1875
Похожие вопросы
Предмет: Математика,
автор: katesolodova28
Предмет: География,
автор: 5sr2fnf8gw
Предмет: Алгебра,
автор: ngraf691
Предмет: Химия,
автор: znanija13579
Предмет: Химия,
автор: rioneone