Предмет: Алгебра,
автор: SeeYouSoonn
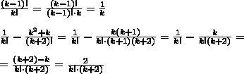
Упростите выражение:
1) (k-1)! / k!
2) 1/k - k^2+k / (k+2)!
Ответы
Автор ответа:
3
Вот тебе ответ, держи) Надеюсь поможет)
Приложения:
Похожие вопросы
Предмет: Информатика,
автор: z1029v
Предмет: Қазақ тiлi,
автор: milleraleksij
Предмет: Химия,
автор: sauleabdukulova40
Предмет: Математика,
автор: карагоз
Предмет: Математика,
автор: Veron1233211