Предмет: Физика, автор: Vencya

Почему в бета-распаде один элемент превращается в другой, если атомная масса при этом не изменяется?

Приложения:

Ответы

Автор ответа: Ziorar
1

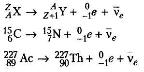
Атомная масса (точнее, массовое число) -обозначено как "A" - это суммарное количество протонов и нейтронов в ядре атома.

При бета(минус) распаде это число не меняется, но один из нейтронов превращается в протон (при этом испускаются электрон и электронное антинейтрино).

Число протонов определяет заряд ядра (обозначен как "Z") и принадлежность атома в целом к конкретному химическому элементу.

Добавился один протон- значит заряд увеличился на единицу, и один химический элемент превратился в другой, соседний по таблице Менделеева (с номером, на единицу больше).

Уточнения:

Если говорить не о массовом числе, а именно о массе ядра, то она немного изменится (уменьшится, т.к. протон немного легче нейтрона).

Также, бывает и бета плюс распад, когда наоборот, один из протонов превращается в нейтрон.


Ziorar: Кстати, на картинке почему то Z и A перепутаны местами (в левом верхнем углу).
Vencya: Спасибо. Но все равно непонятно одно: почему заряд увеличивается на единицу, если: а)удаляется электрон(+1), б)нейтрон превращается в протон(+1).
Ziorar: Был нейтрон с зарядом=0. Он распался на протон(положительный), электрон(отрицательный) и антинейтрино(не имеющее заряда). Суммарный заряд по прежнему равен нулю (+1 -1 +0 = 0). Затем, электрон и антинейтрино покидают ядро. При этом заряд ядра увеличивается на единицу. Всё, более никаких изменений заряда не было.
Ziorar: Можете рассматривать момент вылета частиц из ядра- при этом его заряд увеличивается на единицу. Можете рассматривать ядро до (был нейтрон) и ядро после (на месте нейтрона оказался протон)- и сделать вывод, что заряд ядра увеличился на единицу. Но, только не складывайте эти точки зрения вместе, и не получайте при этом лишний заряд из ниоткуда :-)
Vencya: Просто до этого не знала, что возникает ещё один электрон, спасибо, что объяснили. Я пыталась провести цепь логических рассуждений, как и любой человек в непонятной ситуации. И судя по всему, заряды берутся из ниоткуда. Но наверное, я просто неуч) и впервые слышу о позитроне
Похожие вопросы
Предмет: Математика, автор: VARVARAperm