Предмет: Алгебра,
автор: Sirenasongg
Помогите решить срочно
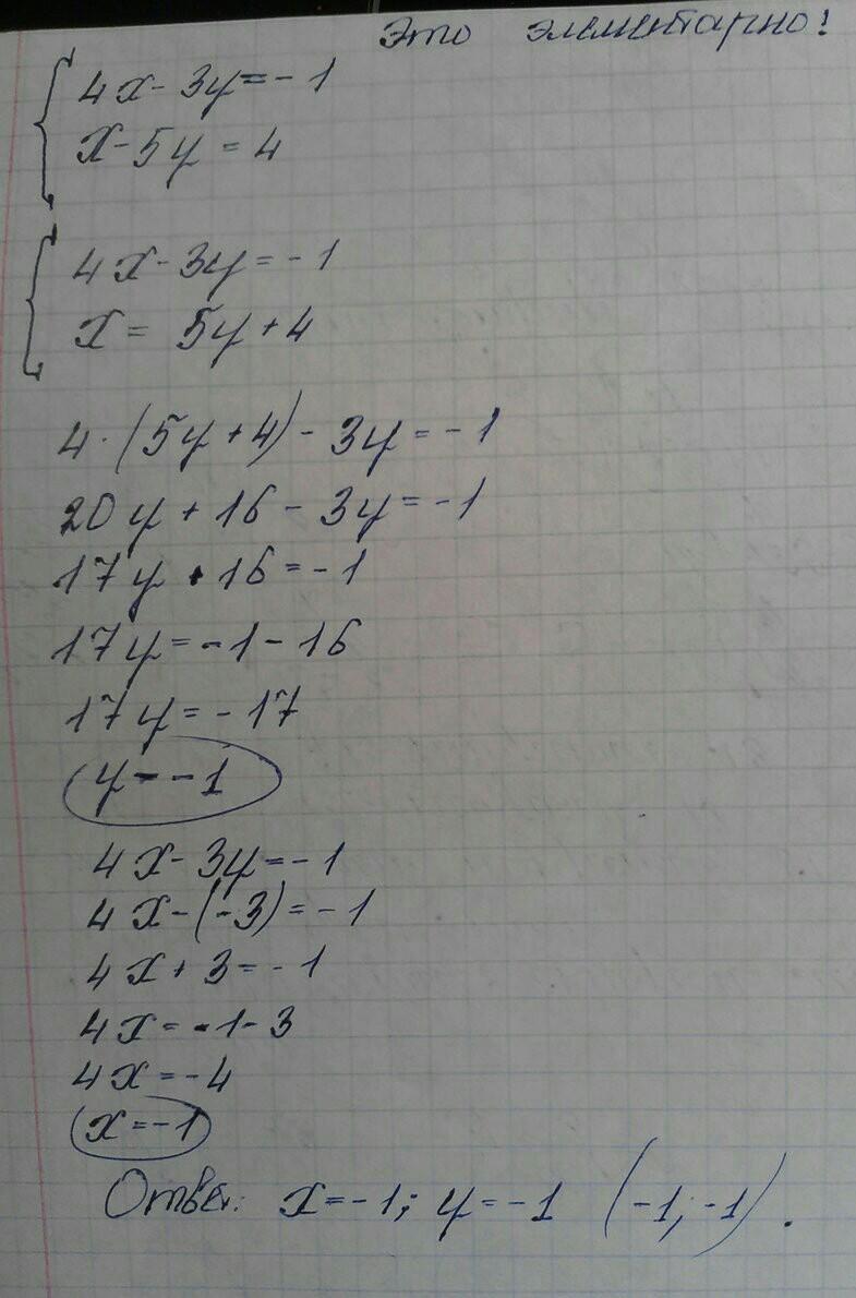
{4x-3y=-4
{x - 5y=4
Ответы
Автор ответа:
0
таккккккккк?Или нееееееет?
Я нечаянно место (-4) нарисала(1)
Приложения:
Автор ответа:
0
3у =-4х-4 умножаем на 3
у= 4/3 - 4/3 - линейное уравнение графиком которого является прямая проходящая через точки 0 и 4/3 функция возрастающей так как kбольше0
Похожие вопросы
Предмет: Русский язык,
автор: mumthemolarte
Предмет: Математика,
автор: github200834
Предмет: Математика,
автор: Oletta0gecko
Предмет: Физика,
автор: ilonashupik