Предмет: Алгебра, автор: 49617

ДАМ 30 БАЛЛОВ!!! Положительные числа x, y, z удовлетворяют условию x²+y²+z²=1. Докажите, что x²yz+xy²z+xyz²≤\frac{1}{3}.


antonovm: Неравенство Коши надо применить , чуть позже сделаю

Ответы

Автор ответа: antonovm
1

Ответ:

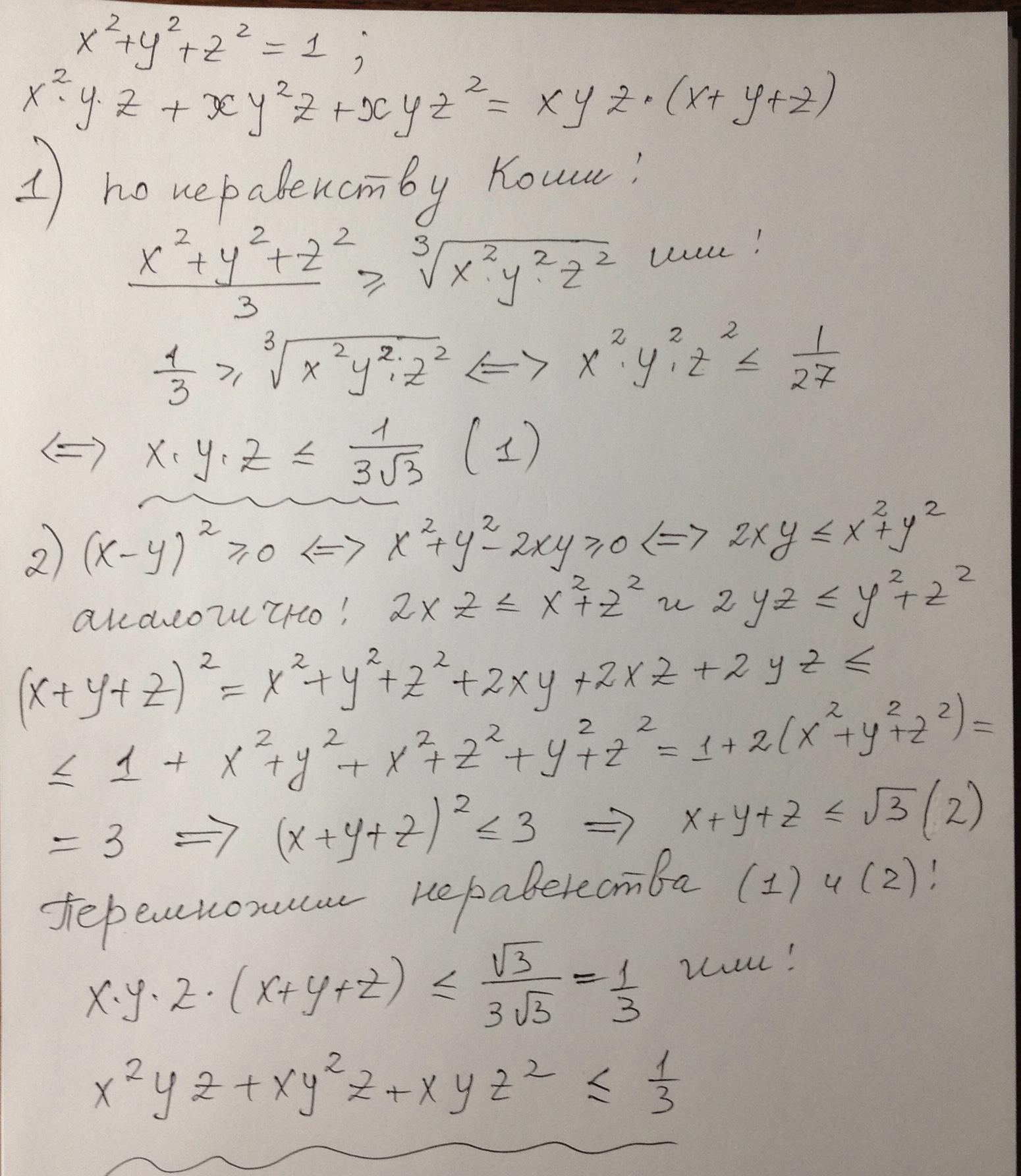
Объяснение:      Решение : ////////////////////////

Приложения:

mathgenius: Только зря время потерял
antonovm: мою вторую оценку можно получить проще : плоскость x + y +z - корень из 3 касается шара , он будет ниже этой плоскости
mathgenius: Да вторая оценка не сложна. Интересно как можно xyz тут оценить не применяя неравенство Коши
mathgenius: У меня получилось честно оценить: xyz<(4*sqrt(3)-1)/9 . Не применяя неравенство коши, но к сожалению этого недостаточно
antonovm: найти максимум функции 3 переменных , используя уравнение связи ( функция Лагранжа )
mathgenius: -1 идет от оценки x+y+z>1. Но к сожалению дать оценку выше не получится
mathgenius: Надо что то химичить с формулой (x+y+z)^3 .
mathgenius: Да хочется найти простой красивый метод, как моментально получить это неравенство используя только школьные методы.
antonovm: фактически надо найти максимум произведения координат точки единичной сферы
mathgenius: В геометрической интерпретиации так оно и есть
Похожие вопросы
Предмет: Информатика, автор: slavadk32
Предмет: Алгебра, автор: YuriKatsuki