Предмет: Математика,
автор: Аноним
помогите пожалуйста!!!
Приложения:
Ответы
Автор ответа:
2
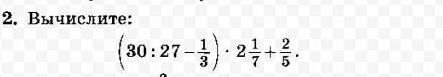
Ответ:
Пошаговое объяснение:
30:27=30/27=10/9=1 1/9
1 1/9-1/3=1 1/9-3/9=7/9
7/9*2 1/7=7/9*15/7=15/9=1 2/3
1 2/3+2/5=1 10/15+6/15=2 1/15
Похожие вопросы
Предмет: Математика,
автор: erseit14gmailcom
Предмет: Математика,
автор: lejliasretova
Предмет: Математика,
автор: Fomath
Предмет: Математика,
автор: natashastepano
Предмет: Обществознание,
автор: Itsmemaria