Предмет: Математика,
автор: bouyt
помогите пожаалуйстааа, ребяят.
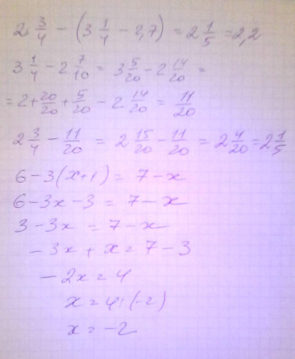
2 3/4 - (3 1\4 - 2,7)
6-3(х+1) = 7-х
спасибо заранее, оченььь нужнаа
Ответы
Автор ответа:
0
= решение = решение = решение = решение = решение =
Приложения:
Похожие вопросы
Предмет: Математика,
автор: valeria6545444
Предмет: Физика,
автор: yusifzadepikachu763
Предмет: Математика,
автор: 48ymnik7
Предмет: Литература,
автор: olea131