Предмет: Математика,
автор: theyram
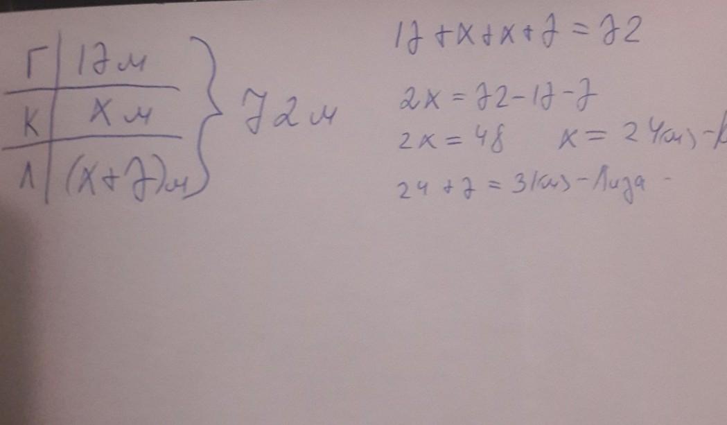
В соревнованиях по метанию мяча участвовали команда из 3 человек. Результаты всех участников команды складывались вместе. Общая сумма бросков Гали, Лизы и Кати составила 72 метра. Лиза метнула мяч на 7 метров дальше, чем Катя. Как далеко метнула каждая из девочек, если мяч Гали улетел на 17 метров?
Ответы
Автор ответа:
0
Ответ:
Катя- 24м
Лиза- 31м
Пошаговое объяснение:
прикрепила фото
Приложения:
Похожие вопросы
Предмет: Алгебра,
автор: valerartem
Предмет: Английский язык,
автор: Аноним
Предмет: Физика,
автор: drok13
Предмет: Информатика,
автор: Аноним
Предмет: География,
автор: Alina3052002