Предмет: Математика,
автор: Ergazovanasiba
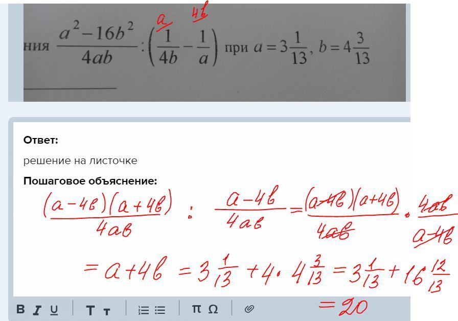
Найти значение выражение
Приложения:
Ответы
Автор ответа:
1
Ответ:
решение на листочке
Пошаговое объяснение:
Приложения:
Ergazovanasiba:
Спасибо
Похожие вопросы
Предмет: Математика,
автор: volchata231
Предмет: Математика,
автор: nikmatvej80
Предмет: Химия,
автор: krivosheevart22
Предмет: Математика,
автор: АзазаУЗБАКОЙЗЯ
Предмет: Литература,
автор: Умчик12