Предмет: Алгебра,
автор: VeerlieHero
Решить систему уравнений методом сложения. 5 заданий.
Приложения:
Ответы
Автор ответа:
0
-5x+7y=57
5x-8y=-63
—————
-y=-6
y=6
Подставим значения y в уравнение ( любое )
5x-8•6=-63
5x=-111
x=-22,2
Ответ (-22,2;6)
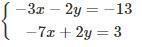
-3x-2y=-13
-7x+2y=3
——————
-10x=-10
x=1
Подставим значения х в любое уравнение
-3•1-2y=-13
-2y=-10
y=5
Ответ : (1;5)
Похожие вопросы
Предмет: Математика,
автор: zandermander567
Предмет: Қазақ тiлi,
автор: dembil555
Предмет: Математика,
автор: matikmak7
Предмет: Информатика,
автор: Ruslan1sport