Предмет: Математика,
автор: qernisesa
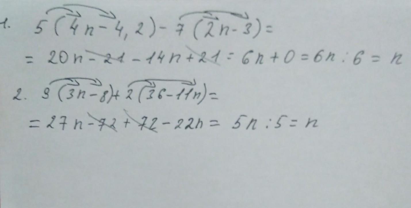
Докажите что при любом натуральном значении n значение выражения:
1) 5(4n – 4,2) – 7(2n – 3) кратно 6;
2) 9(3n – 8) + 2(36 – 11n) кратно 5,
Ответы
Автор ответа:
9
если коэффициент делится на данное число без остатка, то и произведение делится на данное число без остатка.
Приложения:
qernisesa:
спасибо
Похожие вопросы
Предмет: Химия,
автор: Amber2287
Предмет: Химия,
автор: Andriy356
Предмет: Окружающий мир,
автор: marimamatveeva
Предмет: Математика,
автор: nastiayar
Предмет: Математика,
автор: дана232