Предмет: Алгебра,
автор: Kojox
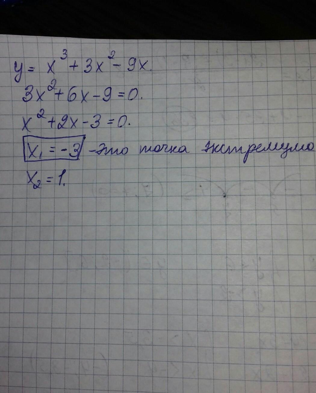
Найти экстренум y=x^3+3x^2-9x
Ответы
Автор ответа:
1
ответ на картине-!!!!!!!!!
Приложения:
Похожие вопросы
Предмет: Математика,
автор: vikafanaseva2000
Предмет: Биология,
автор: aminkakazimag993
Предмет: Обществознание,
автор: niwmmaaaad
Предмет: Алгебра,
автор: klimenkol21
Предмет: Литература,
автор: Hnk270