Предмет: Алгебра,
автор: toniiiiiiiii35
ХЕЛППППППП, СРОЧНООООООООООО
Приложения:
Ответы
Автор ответа:
0
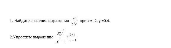
Ответ: -5
Объяснение:
X³ = - 2³ = 8
X+Y = -2 +0.4=-1.6
8/(-1.6)=5
Похожие вопросы
Предмет: Химия,
автор: Proctorsville
Предмет: История,
автор: Lizaliza3185
Предмет: Математика,
автор: Elcoit
Предмет: Биология,
автор: nadyazhdanova04
Предмет: История,
автор: Marine713