Предмет: Алгебра, автор: Аноним

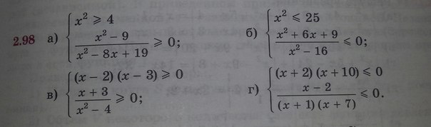
помогииииитеее))))) 2,98 (б,в)

Приложения:

Ответы

Автор ответа: Artem112
0
 left { {{x^2 leq 25} atop { frac{x^2+6x+9}{x^2-16} leq 0 }} right. 
\
 left { {{xin[-5;5]} atop { frac{(x+3)^2}{(x-4)(x+4)} leq 0 }} right. 
\
 left { {{xin[-5;5]} atop { xin(-4;4) }} right. 
\
xin(-4;4)

 left { {{(x-2)(x-3) geq 0} atop { frac{x+3}{x^2-4}  geq 0}} right. 
\
 left { {{xin(2;3)} atop { frac{x+3}{(x-2)(x+2)}  geq 0}} right. 
\
 left { {{xin(-infty;2]cup[3;+infty)} atop {xin[-3;-2)cup(2; +infty)}} right. 
\
xin[-3;-2)cup[3; +infty)
Похожие вопросы