Предмет: Математика,
автор: marusiy7500
Решите пожалуйста не сложное уравнение
Приложения:
Ответы
Автор ответа:
1
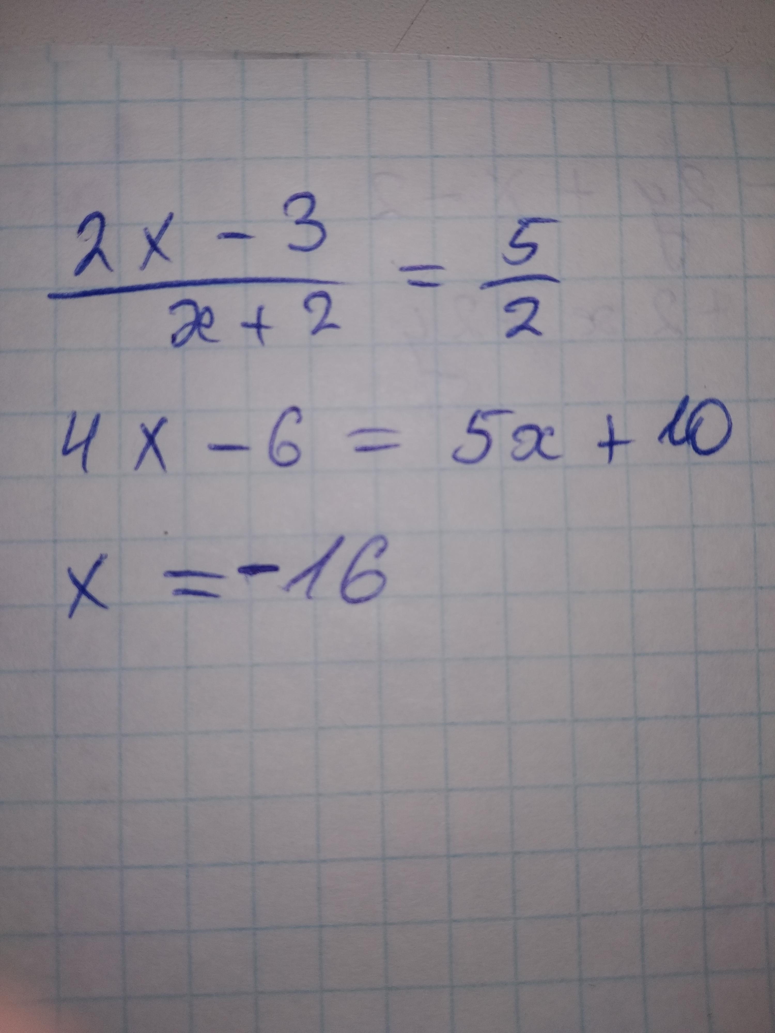
Ответ:
Пошаговое объяснение:
Приложения:
marusiy7500:
Спасибо большое
Автор ответа:
1
..................... Вроде так
Приложения:
Спасибо большое
не за что
Похожие вопросы
Предмет: Математика,
автор: mumypmamepob
Предмет: Физика,
автор: nekit8750
Предмет: Английский язык,
автор: Аноним
Предмет: Алгебра,
автор: den403
Предмет: Математика,
автор: mrodi4eva