Предмет: Алгебра,
автор: silonte
Пожалуйста помогите с заданием.
Приложения:
Ответы
Автор ответа:
0
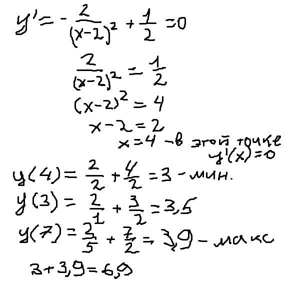
Ответ:
Объяснение:
Решение в приложении
Приложения:
Похожие вопросы
Предмет: Алгебра,
автор: kostalem3117
Предмет: Українська література,
автор: www152426
Предмет: Другие предметы,
автор: dianalukianets
Предмет: Математика,
автор: кристина11110
Предмет: Математика,
автор: Эльмар111