Предмет: Алгебра,
автор: nova111222
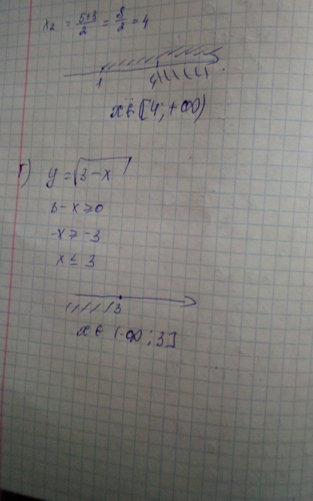
Помогите найти область определения функции
Приложения:
Ответы
Автор ответа:
1
должно быть так))))))))
Приложения:
nova111222:
Большое спасибо)
пожалуйста))
Похожие вопросы
Предмет: География,
автор: mayasivak
Предмет: Математика,
автор: voivanova10
Предмет: Математика,
автор: svetakazakova404
Предмет: Информатика,
автор: kotenek1985
Предмет: Литература,
автор: ielienamart