Предмет: Алгебра, автор: zavhorod18

4a²+a-3/ a²-1 скоротити добро пжжж

Ответы

Автор ответа: www575
0

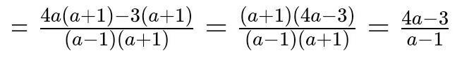
Смотрииииии решение в фото

Приложения:
Автор ответа: ZLOYTIGROVSKIY
7

4a {}^{2}  + a -  \frac{3}{a {}^{2}  - 1}  \\  \\  \frac{4a {}^{2} \times (a {}^{2}  - 1) + a\times (a {}^{2} - 1) - 3  }{a {}^{2}  - 1}  \\  \\  \frac{4a {}^{4}  + a {}^{3} - 4a {}^{2}  - a - 3 }{a{}^{2} - 1 }

~~~ZLOY_TIGROVSKIY~~~

Похожие вопросы
Предмет: Алгебра, автор: dmitrybborisov
Предмет: Русский язык, автор: stalkersgg444
Предмет: Алгебра, автор: MihailUgadchekov8