Предмет: Математика,
автор: registratorik3000
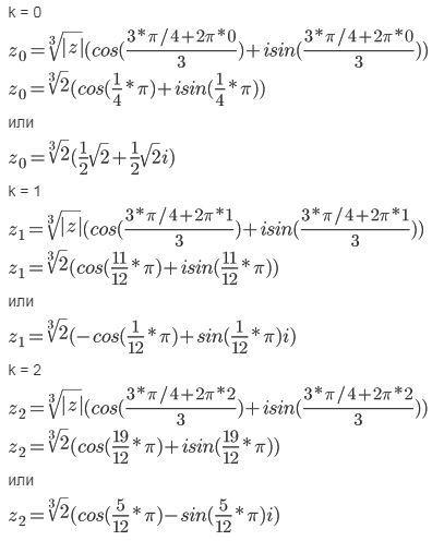
W^3 + z=0
где Z=\frac{2\sqrt{2} }{1-i} найти все корни уравнения
Ответы
Автор ответа:
0
Вот решение, смотри приложения.
Приложения:
Похожие вопросы
Предмет: Математика,
автор: Starcencovera
Предмет: Алгебра,
автор: SimonStriker3735
Предмет: Математика,
автор: edamys7817
Предмет: Алгебра,
автор: аня1696