Предмет: Математика,
автор: 64984
помогите,пожалуйста
Приложения:
Ответы
Автор ответа:
0
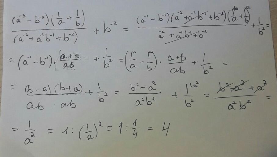
Ответ:
Пошаговое объяснение:
!!!!!!!!!!!!!!!!!!!!!!!!!!!
Приложения:
Автор ответа:
0
Решение на фотографии .
Приложения:
Похожие вопросы
Предмет: Другие предметы,
автор: maskovapolina327
Предмет: Русский язык,
автор: prokofievanton1985
Предмет: Алгебра,
автор: riseee
Предмет: Литература,
автор: FrutiPlay
Предмет: История,
автор: dzhanibekova2