Предмет: Алгебра, автор: mikdha

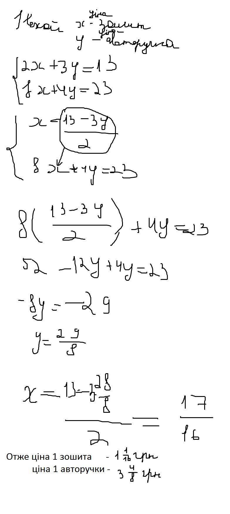
За 2 зошити і 3 авторучки Роман заплатив 13 гривень а Дарина за 8 зошитів і 4 авторучок 23 гривні Скільки коштує 1 зошит і скільки 1 авторучка ​

Ответы

Автор ответа: Аноним
1

Ответ:

Объяснение:

ось

Приложения:
Похожие вопросы
Предмет: История, автор: artem150104yndexru
ПОМОГИТЕ ПОЖАЛУЙСТА СРОЧНО!!!!!!

Тест.

1. После смерти Сталина партию возглавил:
а) Н.С. Хрущев;
б) Г.М. Маленков;
в) К.Е. Ворошилов.
2. Первый советский космонавт, совершивший полет вокруг Земли 12 апреля 1961 году:
а) Леонов;
б) Титов;
в) Гагарин.
3. Пленум ЦК КПСС, взявший курс на ускорение социально-экономического развития страны, состоялся:
а) в апреле 1985 г.;
б) в мае 1989 г.;
в) в марте 1990 г.
4. Руководство страной с 1985 по 1991 год осуществлял:
а) Ельцин;
б) Горбачёв;
в) Громыко.
5. «Перестройка» - это:
а) попытка возврата к сталинскому обществу, предпринятая Горбачевым;
б) попытка политического и экономического реформирования советского общества, предпринятая Горбачевым;
в) попытка решения жилищной проблемы в СССР, предпринятая Горбачевым.
6. Новый высший орган законодательной власти, учрежденный в конце 80-х годов – это:
а) Съезд народных депутатов СССР;
б) Политбюро ЦК КПСС;
в) Государственная Дума СССР.
7. Найдите верное утверждение:
а) в период перестройки социалистическая система разрушилась;
б) экономические реформы Горбачева были полностью реализованы;
в) в период перестройки социалистическая система укрепилась.
8. Первым президентом России стал:
а) Ельцин;
б) Горбачёв;
в) Рыжков.
9. Беловежские соглашения – это:
а) советско-американские соглашения о прекращении ядерных испытаний;
б) соглашения глав России, Украины и Белоруссии о роспуске СССР и создании Содружества Независимых Государств;
в) соглашения глав России, Украины и Белоруссии о сохранении СССР без участия Прибалтийских республик.
Предмет: Математика, автор: асат5