Предмет: Алгебра,
автор: Аноним
Помогите, алгебру завтра сдавать.
Приложения:
Ответы
Автор ответа:
1
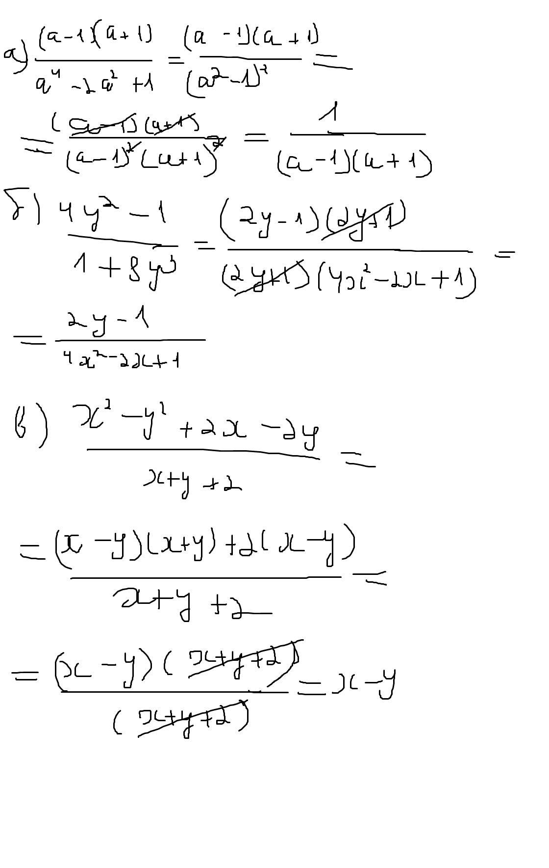
Ответ:
Объяснение:
вот
Приложения:
Похожие вопросы
Предмет: Қазақ тiлi,
автор: Аноним
Предмет: Химия,
автор: mmhhzh
Предмет: История,
автор: magdalinaanastasia64
Предмет: Математика,
автор: kseneshkanikis
Предмет: Математика,
автор: Настя111111111111167