Предмет: Математика,
автор: Ilinka20
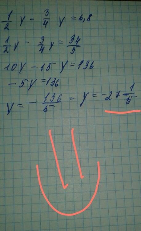
Решительно уравнение пж
1/2y-3/4y=6,8
Ответы
Автор ответа:
2
Ответ:
-27 1/5..................
Приложения:
Похожие вопросы
Предмет: Алгебра,
автор: srbgsrb
Предмет: География,
автор: elza31082010
Предмет: Українська мова,
автор: diankakrash
Предмет: Математика,
автор: смоленцев
Предмет: Математика,
автор: Аноним