Предмет: Алгебра,
автор: Carnav
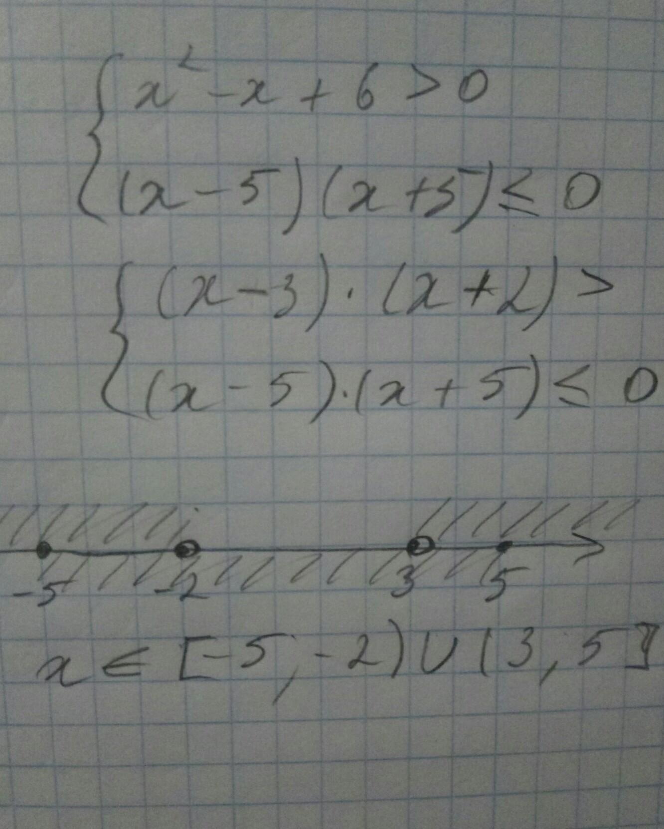
Решите систему неравенств:
Приложения:
Ответы
Автор ответа:
2
........................
Приложения:
Похожие вопросы
Предмет: Литература,
автор: iriskairinkaua
Предмет: Українська мова,
автор: skrypaknastya
Предмет: Математика,
автор: 3podubaylo
Предмет: Математика,
автор: Zyaba2003
Предмет: Биология,
автор: anntormozova9