Предмет: Алгебра, автор: dias133708

помогите пожалуйста очень прошу.Даю 100 баллов.!!!!!​

Приложения:

Ответы

Автор ответа: buialodima
1

Ответ:

Объяснение:

Честно говоря, мне кажется, что сдесь ошибка в условии(место b должно было бы быть a) или есть уточнение, что a=b

tg(B+45°)+tg(a-45°)=2tg(a)

tg2(a)= (2tg(a))/(1-tg²(a))

tg(B+45°)+tg(a-45°)= 2(2tga)/(1-tg²a)

tg(b+45°)= sin(b+45°)/cos(b+45°)

tg(a-45°)= sin(a-45°)/cos(a-45°)

sin(b+45°)/cos(b+45°) + sin(a-45°)/cos(a-45°)

Сводим к общему знаменателю

(sin(b+45°)×cos(b-45°) + sin(a-45°)×cos(a+45°))/ cos(b+45°)×cos(a-45°)

sin(b+45°+a-45°)/ cos(b+45°)×cos(a-45°)

sin(a+b)/ cos(b+45°)×cos(a-45°)

sin(a+b)/ (cos(b)×cos45° - sin(b)×sin45°) × (cos(a)×cos45° - sin(a)×sin45°)

sin(a+b)/ √2/2(cos(b)-sin(b)) × √2/2(cos(a)-sin(a))

sin(a+b)/ 1/2(cos(b)-sin(b))×(cos(b)-sin(b))

2sin(a+b)/ (cos(a)×cos(b) - sin(a)×sin(b)

2sin(a+b)/ cos(a+b)

2tg(a+b)

А 2tg(a+b) долго равняться 2tg(2a))

Это возможно при том условии, что b=a или же это неправильное неравенство

2tg(a+b) ≠ 2tg(2a))


dimaogol2000: Что-то вы заморочились
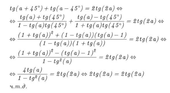
Автор ответа: dimaogol2000
1

Ответ:

Объяснение:

В задании явная опечатка ,не может быть так ,что разные аргументы ,в плане переменные в итоге давали только одну из них ,а куда вторая пропадёт ? Вот я и решил написать b=a

Приложения:
Похожие вопросы
Предмет: Другие предметы, автор: Аноним
Предмет: История, автор: nastysha67
Предмет: История, автор: ALEKS111111111111112