Предмет: Алгебра,
автор: tolikmirov55
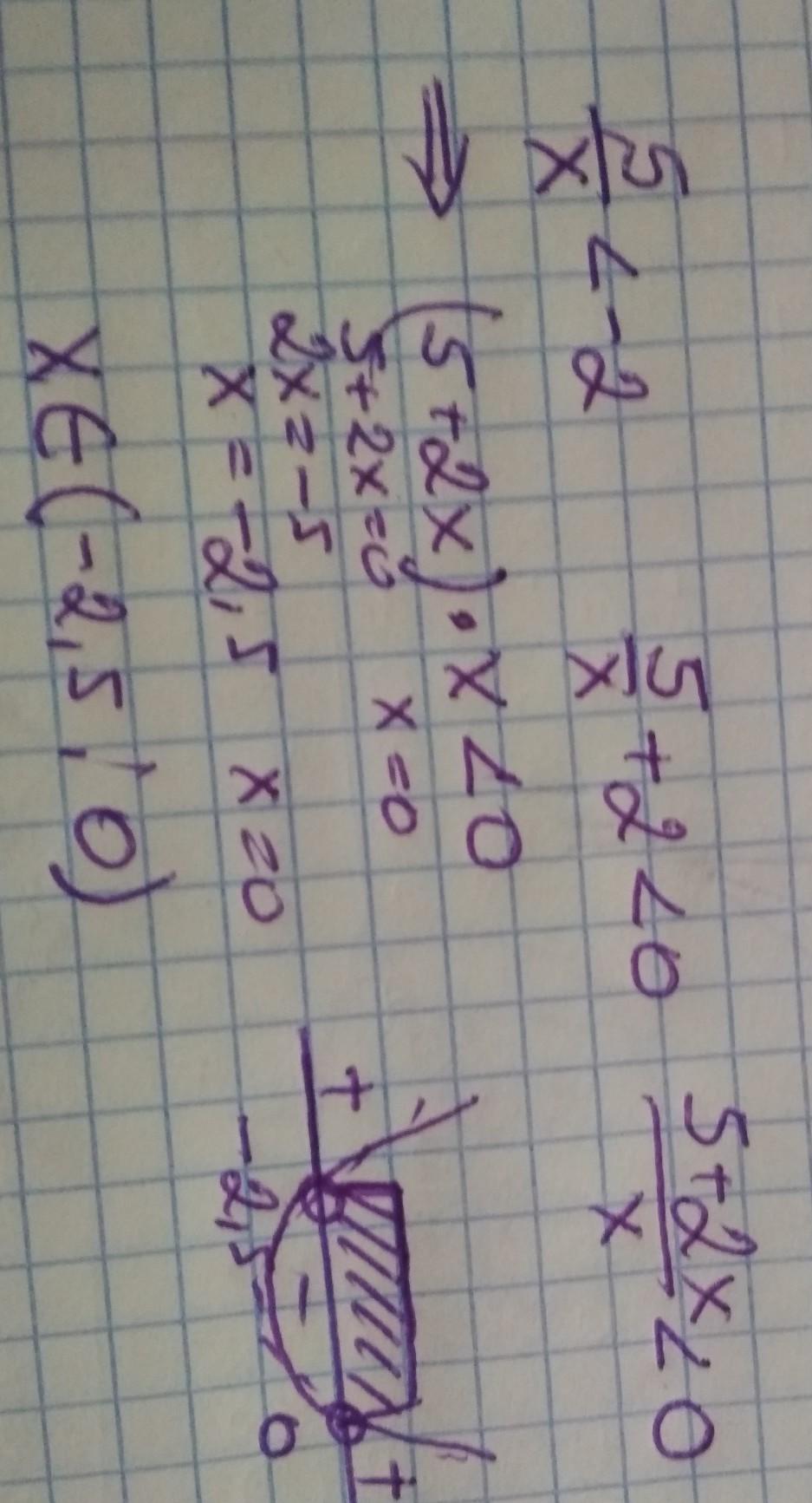
5/x<-2
решите неравенство
Ответы
Автор ответа:
0
Объяснение:
при решении неравенств все переносим в левую часть, ищем общий знаменатель далее по фото( знаменатель не выбрасываем)
Приложения:
Похожие вопросы
Предмет: Биология,
автор: bibikoveugen
Предмет: История,
автор: krictinakovaleva266
Предмет: Математика,
автор: Xo4yyyyPameH
Предмет: История,
автор: jebalaevkir
Предмет: Математика,
автор: тимур401