Предмет: Алгебра,
автор: Bomjara228
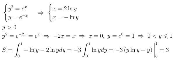
Вычислить площадь фигуры S, ограниченной линиями

Пожалуйста, с рисунком, заранее спасибо
Ответы
Автор ответа:
1
Ответ:
Объяснение:
Решение снизу↓↓↓↓↓↓↓↓
Приложения:
Похожие вопросы
Предмет: Математика,
автор: sonya2010tsom
Предмет: Русский язык,
автор: to5633t431
Предмет: Химия,
автор: daryazyleve
Предмет: Математика,
автор: Бэтмен71
Предмет: Математика,
автор: Sundelly