Предмет: Алгебра, автор: notrussia

даю сто
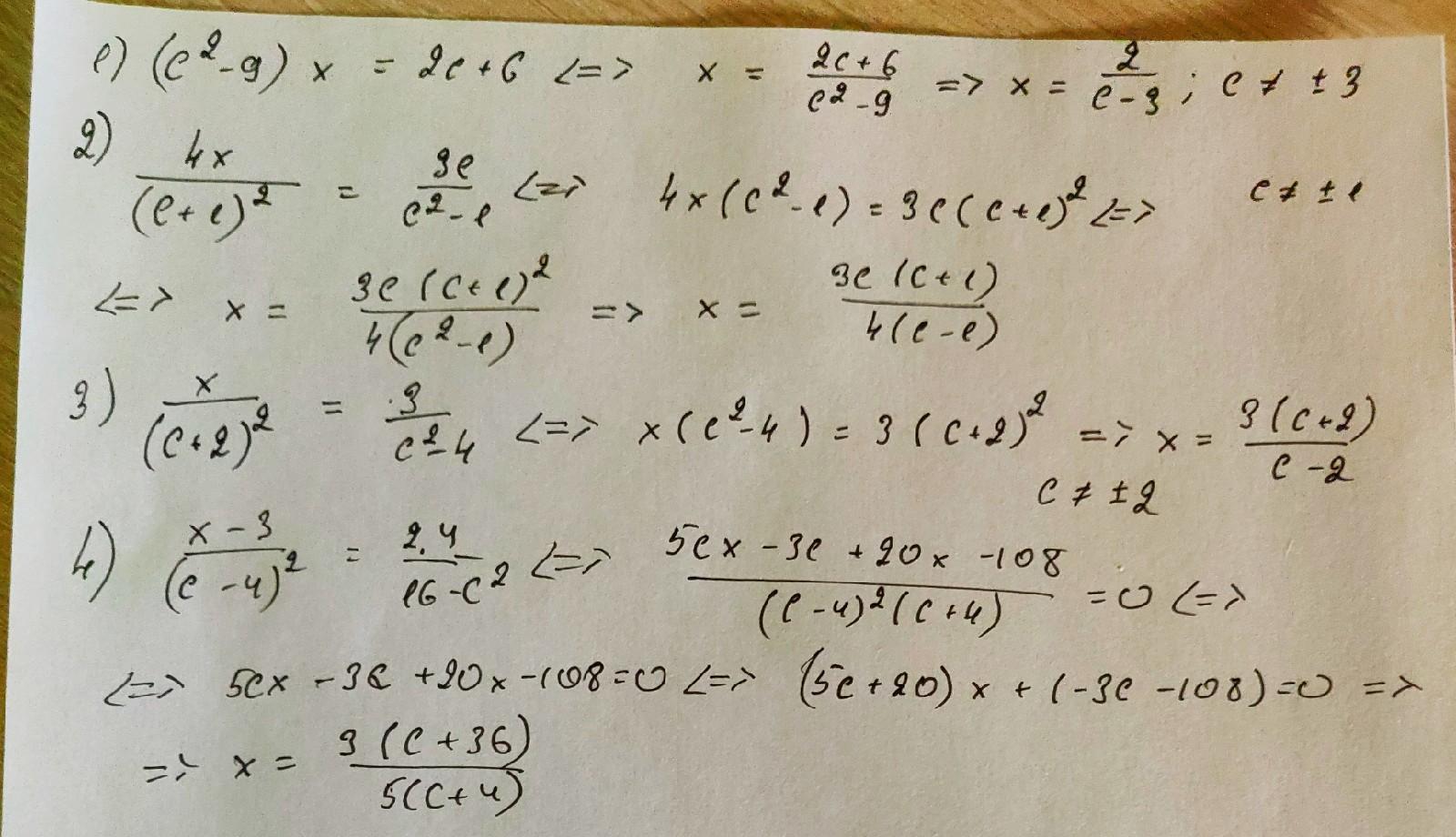
решите?пжпжпжпжпжппжжпжпжпжпжппжпжжпжп​

Приложения:

Ответы

Автор ответа: dimaogol2000
2

Ответ:

Объяснение:

..............................

Приложения:

notrussia: спасибо огромное
notrussia: что это
notrussia: означает
notrussia: =>
dimaogol2000: Следует
notrussia: рано и стрелка? что означает
notrussia: ок
dimaogol2000: Равносильно
Похожие вопросы
Предмет: Математика, автор: kirill29078
Предмет: История, автор: Аноним