Предмет: Алгебра,
автор: dimatishhenko99
Помогите пожалуйста, а то я не могу понять....
Приложения:
Ответы
Автор ответа:
16
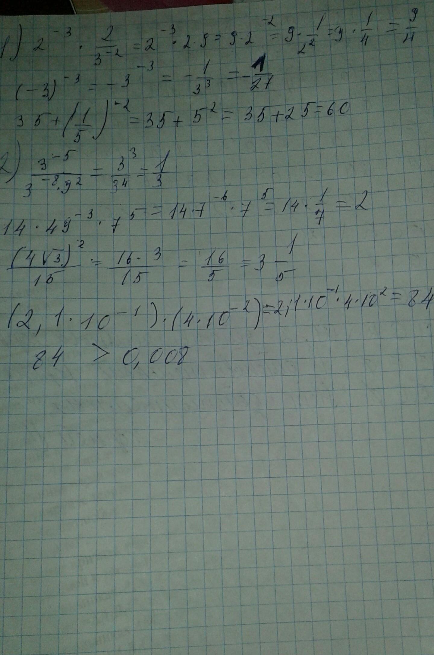
Ответ на рисунке...........
Приложения:
Автор ответа:
2
Ответ:если показатель (-) то нужно перевернуть число если это дробь к примеру 1/2-² то будет просто 2² и наоборот
Объяснение:
Приложения:
Похожие вопросы
Предмет: Литература,
автор: rovnyakovav
Предмет: Литература,
автор: welterwelter704
Предмет: Литература,
автор: ivanka2082
Предмет: Литература,
автор: Kristinaaoqpa
Предмет: Математика,
автор: llusinda