Предмет: Алгебра, автор: FXGH

Розв°яжіть способом підстановки систему рівнянь

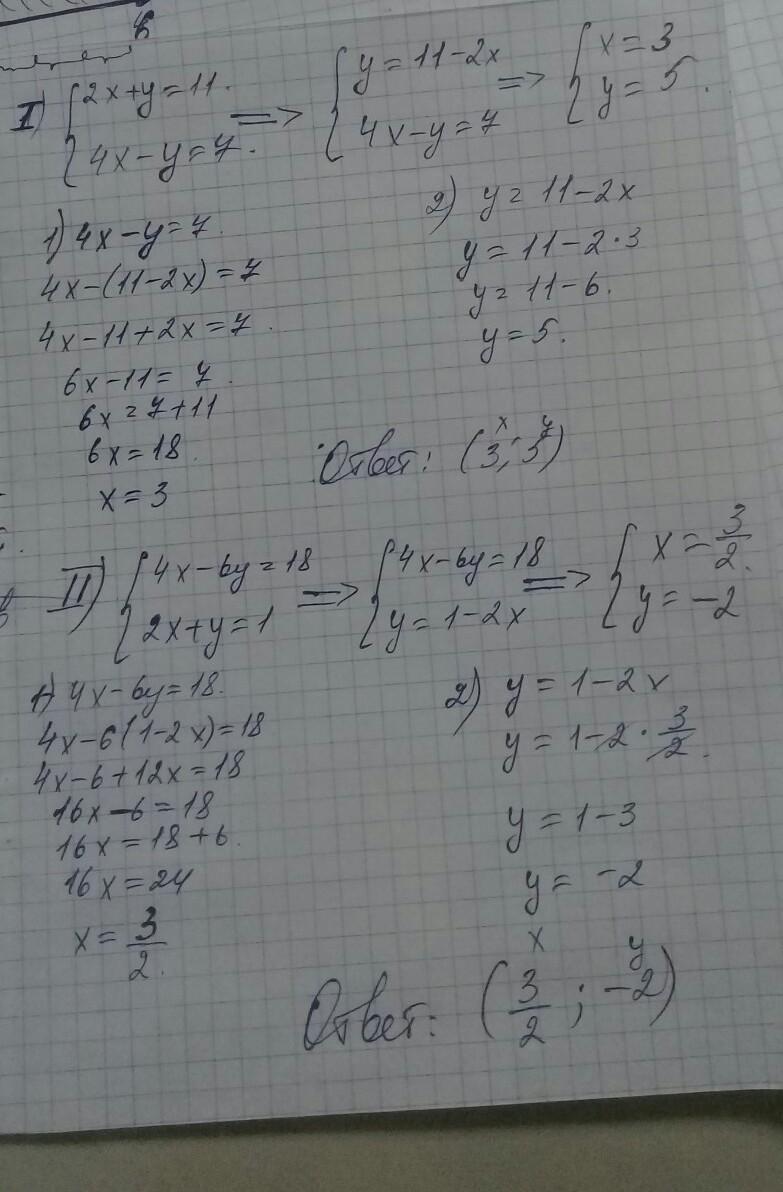
1) {2х+у=11 ; 4х-у=7

2) {4х-6у=18 ; 2х+у=1

Ответы

Автор ответа: Universalka
10

1)\left \{ {{2x+y=11} \atop {4x-y=7}} \right. \\\\\left \{ {{y=4x-7} \atop {2x+4x-7=11}} \right.\\\\\left \{ {{y=4x-7} \atop {6x=18}} \right.\\\\\left \{ {{x=3} \atop {y=4*3-7}} \right.\\\\\left \{ {{x=3} \atop {y=5}} \right.

Ответ : (3 ; 5)

2)\left \{ {{4x-6y=18} \atop {2x+y=1}} \right.\\\\\left \{ {{y=1-2x} \atop {4x-6*(1-2x)=18}} \right.\\\\\left \{ {{y=1-2x} \atop {4x-6+12x=18}} \right. \\\\\left \{ {{y=1-2x} \atop {16x=24}} \right.\\\\\left \{ {{x=1,5} \atop {y=1-2*1,5}} \right.\\\\\left \{ {{x=1,5} \atop {y=-2}} \right.

Автор ответа: Аноним
15

....................................

Удачи вам!!:)))

Приложения:
Похожие вопросы
Предмет: Физика, автор: galinakalimova2