Предмет: Алгебра,
автор: Sasha7928939
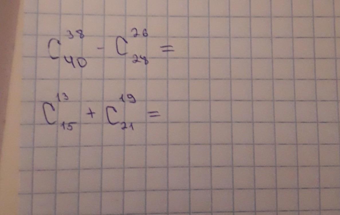
Помогите пожалуйста!!!
Приложения:
Ответы
Автор ответа:
1
Решение задания приложено
Приложения:
Похожие вопросы
Предмет: Английский язык,
автор: hubhub69
Предмет: Математика,
автор: karel191
Предмет: Русский язык,
автор: kolzt977
Предмет: Математика,
автор: діана20041