Предмет: Математика,
автор: kris100s1
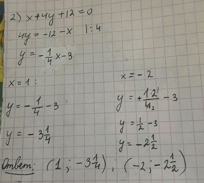
Решите 2,4,6.........
Приложения:
Ответы
Автор ответа:
1
Решение на фотографиях
Приложения:
Похожие вопросы
Предмет: Українська мова,
автор: MopeioD
Предмет: Физика,
автор: k476218
Предмет: Другие предметы,
автор: horcat
Предмет: Математика,
автор: gtoy1
Предмет: Математика,
автор: ilonahacatran