Предмет: Математика,
автор: ValLleRa7
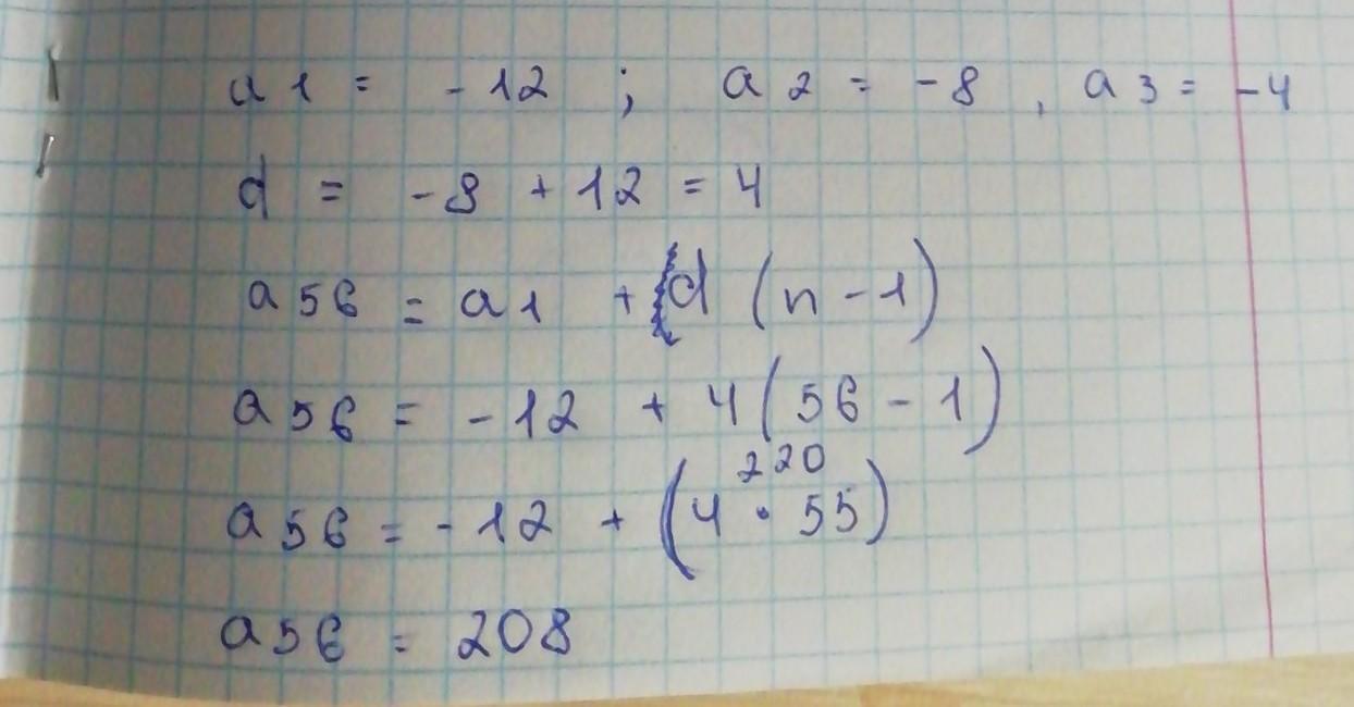
Дана арифметическая прогрессия: -12 ; -8; -4. Найдите a56•
Ответы
Автор ответа:
1
-12+4*55=208 искомый члнен прогрессии
Предварительно нашли разность прогрессии, отняв от второго члена первый -8-(-12)=4
Если надо по формулам, вот она, по которой получили нужный ответ. аₙ=а₁+d(n-1) - формула n-го члена арифметической прогрессии.
d- разность прогрессии, указывает, на сколько отличается каждый последующий от предыдущего, n- номер члена, который ищем, в Вашем примере это номер 56, (n-1)-это 56-1=55. Вроде бы ничего не упустил.)
ValLleRa7:
Там короче сказали что надо по формуле ришать а так я не знаб правильно или нет
это по формуле.... выучи их, для начала
Автор ответа:
0
Так, это можно проверить. Если разница d = 4, то можно найти а55, для проверки. Мы узнали ,что а56 = 208. Тогда а55 = 208-4=204
Из формулы н-ого члена :
а55 = а1 + d(n-1)
a55 = -12 + 4(55-1)
a55 = -12+ 216= 204.
Значит, мы всё правильно сделали :)
Приложения:
Похожие вопросы
Предмет: Математика,
автор: am1xie
Предмет: Русский язык,
автор: emanovaalina09
Предмет: Английский язык,
автор: alinaslitapc0hx3
Предмет: Математика,
автор: рея555
Предмет: Математика,
автор: Tatyina2013