Предмет: Алгебра,
автор: aleksandrabelous1
Срочно!!?! Пожалуйста!! 10 балов даю за одну систему
Приложения:
Ответы
Автор ответа:
1
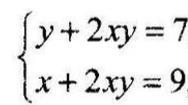
От (2) отнимаем (1),
х-у=2, отсюда у=х-2, подставим во (2),
х+2х(х-2)=9
2х^2-3х-9=0
D=9+4*9*2=81
x=(3+9)/4=3, у =1
x=(3-9)/4=-1,5, у=-3,5
Ответ :(3; 1), (-1,5; - 3,5)
aleksandrabelous1:
Спасибо
Похожие вопросы
Предмет: История,
автор: Аноним
Предмет: Українська мова,
автор: diorova
Предмет: Математика,
автор: one4laive5
Предмет: Алгебра,
автор: dimakuznetsov04
Предмет: Химия,
автор: asedon