Предмет: Алгебра, автор: Lway

РЕШИТЕ СИСТЕМУ СРОЧНО!
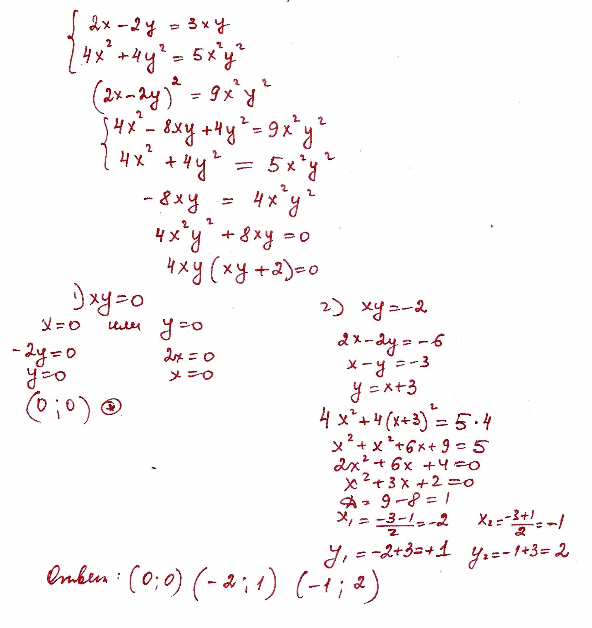
\left \{{{2x-2y=3xy} \atop {4x^{2}+4y^{2}  =5x^{2}y^{2}  }} \right.

Ответы

Автор ответа: maksimcat
2

Ответ:

Объяснение:

ответ на фото\\\\\\\\\\\\\\\\\\\\\\\\\\\\\\\\\\\\\\\\\\\\\\\\\\\

Приложения:

Lway: спасибо огромное, можешь еще помочь? https://znanija.com/task/32320042
Похожие вопросы
Предмет: Биология, автор: jegvilsove
Предмет: Математика, автор: anastasiadani0135
Предмет: Математика, автор: MashokIP