Предмет: Алгебра,
автор: zota254
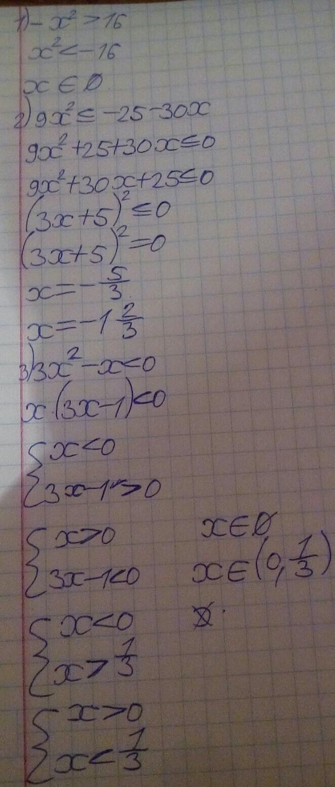
помогите пожалуйста решить неравенства 1-12 срочно!!!
Приложения:
Ответы
Автор ответа:
0
.......................
Приложения:
zota254:
ну это через фотопатч
No
I did it myself !!!
Похожие вопросы
Предмет: Математика,
автор: nicki461
Предмет: Литература,
автор: JoKeRToP2442
Предмет: Химия,
автор: CatNYou
Предмет: История,
автор: DecStarOne
Предмет: Математика,
автор: Мангаа