Предмет: Алгебра,
автор: eportmane642
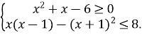
СРОЧНО ДАМ 20
БАЛЛОВ!!!!!!!!!!!!!!!!!!!!!!!!!!
Приложения:
Ответы
Автор ответа:
1
Вроде бы так. Но с ответом и числовой прямой я не уверена. Лучше перепроверь.
Вот так правильнее
Приложения:
Аноним:
блин я чуть ошиблась сорь просто замени 3 на 8
там вроде -х+2х=х
стой я второе уравнение не правильно сделала
спс
Похожие вопросы
Предмет: Английский язык,
автор: zlata20002402
Предмет: Геометрия,
автор: Adhshbaaaa
Предмет: Математика,
автор: azamatajdarkulov1
Предмет: Математика,
автор: Луиза0202