Предмет: Математика, автор: kauminesan

Нужно найти область определения функции, пожалуйста

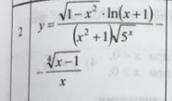
Приложения:

Ответы

Автор ответа: Аноним
12

\left\{\begin{matrix} 1-x^2\geq 0 \\ x+1>0\\ x-1 \geq 0\\x\neq 0\\ \end{matrix}\right. \ \Leftrightarrow \ \left\{\begin{matrix} (1-x)(1+x)\geq 0 \\ x>-1\\ x \geq 1\\x\neq 0\\ \end{matrix}\right. \ \Leftrightarrow \ \left\{\begin{matrix} x \in [-1;1] \\x \geq 1\\\end{matrix}\right. \ \Leftrightarrow \ x =1 \\ \\ OTBET: \ D(y)=\{1\}


kauminesan: спасибо
Похожие вопросы
Предмет: Английский язык, автор: halykovnurbol93
Предмет: Математика, автор: bestuzheva1982