Предмет: Математика,
автор: MERENDEZZ
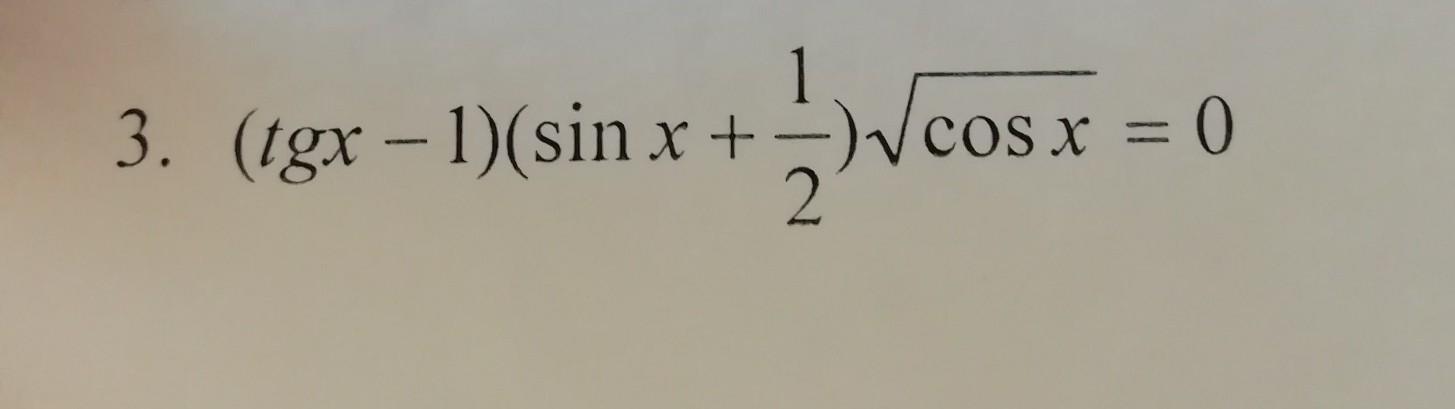
Помогите решить 3 уравнение пожалуйста
Приложения:
Ответы
Автор ответа:
1
Ответ:
задавай вопросы по решению, могу объяснить)
Пошаговое объяснение:
Приложения:
Похожие вопросы
Предмет: Литература,
автор: davidvoronov1976
Предмет: Геометрия,
автор: abdullosajfov8
Предмет: Русский язык,
автор: uliianikolaeva
Предмет: Математика,
автор: Kartoha22