Предмет: Математика,
автор: kirtkachenko0921
Помогите плиз даю 19 баллов
Приложения:
Ответы
Автор ответа:
0
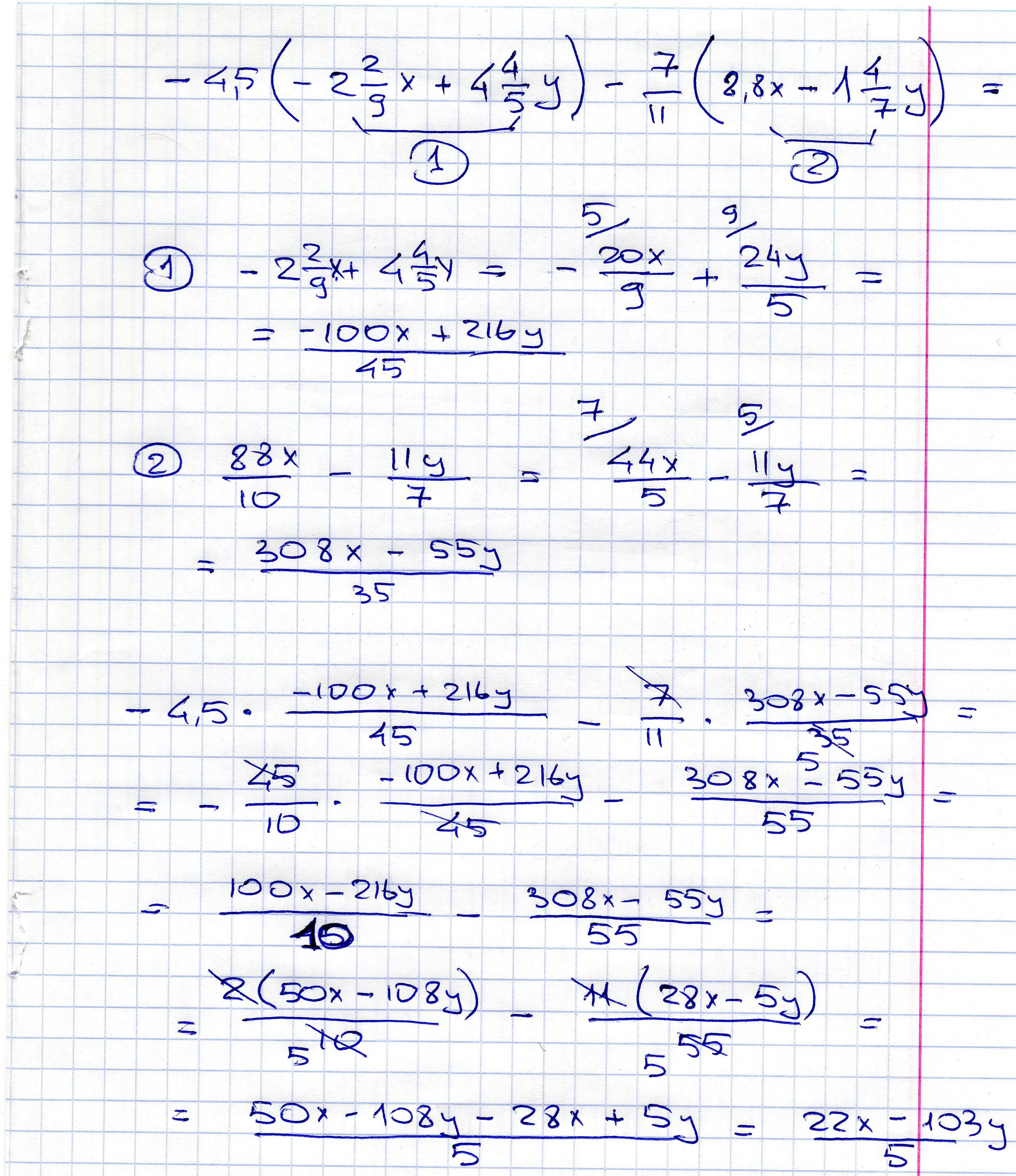
Ответ:
Пошаговое объяснение:
Приложения:
Похожие вопросы
Предмет: Химия,
автор: kushnirkamilla2000ku
Предмет: Математика,
автор: ProOtvetnik777
Предмет: Русский язык,
автор: kostasannikov44
Предмет: Химия,
автор: Hielena17
Предмет: Математика,
автор: mwks96