Предмет: Математика,
автор: sas7391
СДЕЛАЙТЕ ВСЕ СДЕЛАЙТЕ ВСЕ СДЕЛАЙТЕ ВСЕ СДЕЛАЙТЕ ВСЕ СДЕЛАЙТЕ ВСЕ СДЕЛАЙТЕ ВСЕ СДЕЛАЙТЕ ВСЕ СДЕЛАЙТЕ ВСЕ СДЕЛАЙТЕ ВСЕ СДЕЛАЙТЕ ВСЕ СДЕЛАЙТЕ ВСЕ СДЕЛАЙТЕ ВСЕ СДЕЛАЙТЕ ВСЕ СДЕЛАЙТЕ ВСЕ СДЕЛАЙТЕ ВСЕ СДЕЛАЙТЕ ВСЕ СДЕЛАЙТЕ ВСЕ СДЕЛАЙТЕ ВСЕ СДЕЛАЙТЕ ВСЕ СДЕЛАЙТЕ ВСЕ!!!!!!
Приложения:
Ответы
Автор ответа:
30
Ответ:
Пошаговое объяснение:
Подставляем значения всех возможных выражений в уравнения.
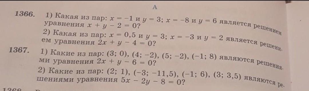
1366:
1)x+y-2=0
a) (-1;3)
-1+3-2=-3+3=0
б) (-8;6)
-8+6-2=-10+6=-4
Не подходит.
Ответ (-1;3)
2)2x+y-4=0
a) (0,5;3)
2*0,5+3-4=4-4=0
б) (-3;2)
2*(-3)+2-4=-10+2=-8
Не подходит.
Ответ: (0,5;3)
1367
1)2x+y-6=0
a) (3;0)
6-6=0
б) (4;-2)
8-2-6=0
в) (5;-2)
10-2-6=2
Не подходит.
г) (-1;8)
-2+8-6=0
Ответ: (3;0), (4;-2), (-1;8)
2)5x-2y-8=0
а) (2;1)
10-2-8=0
б) (-3;-11,5)
-15+11,5-8=-11,5
Не подходит.
в) (-1;6)
-5-12-8=-25
Не подходит.
г) (3;3,5)
15-7-8=0
Ответ: (2;1), (3;3,5)
sas7391:
спасибо
а зачем ты напесал в и г
Чтобы текст не был сплошным. Читать с экрана неудобно.
тогда мне это писать
спасибо тебе
Похожие вопросы
Предмет: Биология,
автор: Shadow9696
Предмет: Обществознание,
автор: zoirshoabdurahmonov9
Предмет: Биология,
автор: Shadow9696
Предмет: Математика,
автор: Ponchik34
Предмет: Математика,
автор: fgvasya2017