Предмет: Математика,
автор: lampeul
Помогите пж 60 баллов
Приложения:
Ответы
Автор ответа:
0
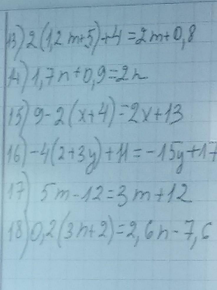
13) 2 ( 1,2m + 5 ) + 4 = 2m + 0,8
2,4m + 10 + 4 = 2m + 0,8
2,4m - 2m = 0,8 - 10 - 4
0,4m = - 13,2
m = - 13,2 / 0,4
m = - 33
Ответ : - 33
14) 1,7n + 0,9 = 2n
1,7n - 2n = - 0,9
- 0,3n = - 0,9
n = - 0,9 / ( - 0,3 )
n = 3
Ответ : 3
15) 9 - 2 ( х + 4 ) = 2х + 13
9 - 2х - 8 = 2х + 13
- 2х - 2х = 13 - 9 + 8
- 4х = 12
х = - 12 / 4
х = - 3
Ответ : - 3
16) - 4 ( 2 + 3у ) + 11 = - 15у + 17
- 8 - 12у + 11 = - 15у + 17
- 12у + 15у = 17 + 8 - 11
3у = 14
у = 14 / 3
у = 4 целых 2/3
Ответ : 4 целых 2/3
17) 5m - 12 = 3m + 12
5m - 3m = 12 + 12
2m = 24
m = 24 / 2
m = 12
Ответ : 12
18) 0,2 ( 3n + 2 ) = 2,6n - 7,6
0,6n + 0,4 = 2,6n - 7,6
0,6n - 2,6n = - 7,6 - 0,4
- 2n = - 8
n = - 8 / ( - 2 )
n = 4
Ответ : 4
Похожие вопросы
Предмет: Геометрия,
автор: aleksaaghabekyan
Предмет: Геометрия,
автор: nnzt477j5f
Предмет: Русский язык,
автор: nikateelpalaye
Предмет: Химия,
автор: alloesyrup
Предмет: Математика,
автор: samira68