Предмет: Математика,
автор: piaterochka
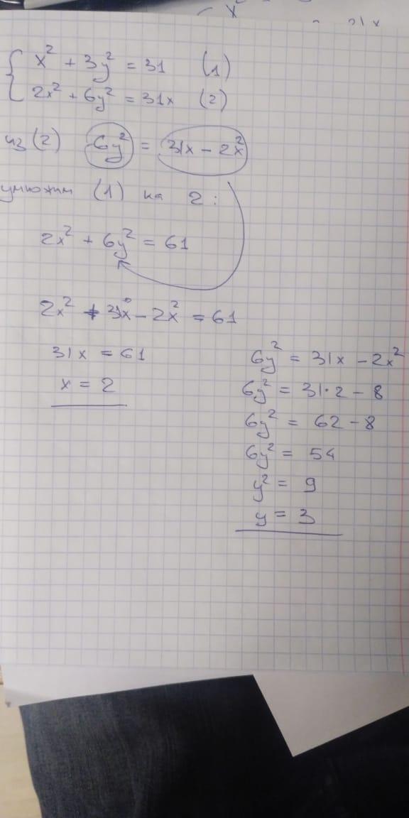
Можете объяснить решение системы уравнений|
Приложения:
Ответы
Автор ответа:
0
Ответ:
Пошаговое объяснение:
Приложения:
Похожие вопросы
Предмет: Геометрия,
автор: artemsuvorov784
Предмет: История,
автор: lilitlay99
Предмет: Русский язык,
автор: aselkurbanova219
Предмет: Математика,
автор: rrrrrrrrrrr4
Предмет: Физика,
автор: женский63