Предмет: Алгебра,
автор: aziz2905
помогите пожалуйста разобраться
Приложения:
Ответы
Автор ответа:
1
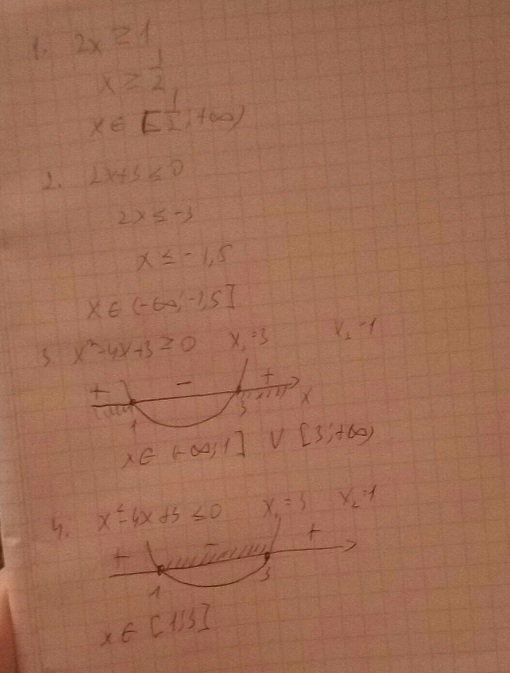
вроде бы как-то так)))
Приложения:
aziz2905:
Не правильно
Похожие вопросы
Предмет: Геометрия,
автор: furanna
Предмет: Математика,
автор: Funfane
Предмет: Русский язык,
автор: odilmuhammad77729
Предмет: Информатика,
автор: Qusswas
Предмет: География,
автор: lizakolumbaeva