Предмет: Алгебра, автор: GoodKind

МНОГО БАЛЛОВ Свойства степени с целым показателем
Помогите, пожалуйста, решить 3 вариант задние №3

Приложения:

DOGY228: я не решу)

Ответы

Автор ответа: dimaogol2000
1

Ответ:

Объяснение:

/////////////////////////////////

Приложения:

GoodKind: Спасибо <3
Автор ответа: NNNLLL54
0

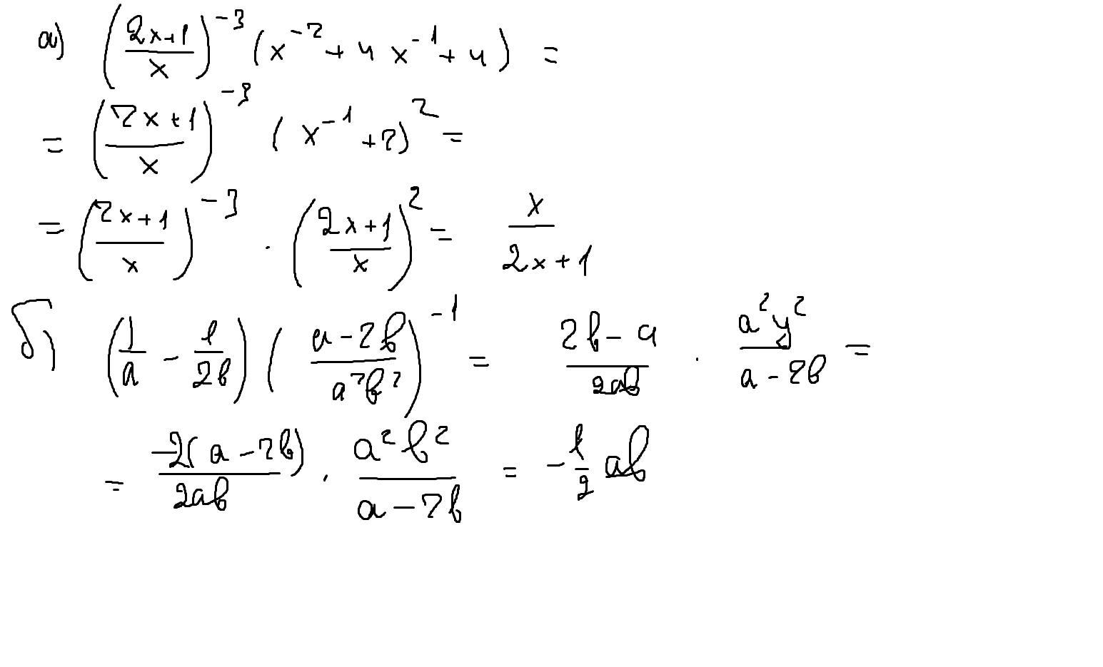
a)\; \; \Big (\frac{2x+1}{x}\Big )^{-3}\cdot (x^{_2}+2x^{-1}+4)=\Big (\frac{2x+1}{x}\Big )^{-3}\cdot (x^{-1}+2)^2=\\\\=\Big (\frac{2x+1}{x}\Big )^{_3}\cdot (\frac{1}{x}+2)^2=\Big (\frac{2x+1}{x}\Big )^{-3} \cdot \Big (\frac{2x+1}{x}\Big )^2=\Big (\frac{2x+1}{x}\Big )^{-1}=\frac{x}{2x+1}

b)\; \; \Big (\frac{1}{a}-\frac{1}{2b}\Big )\cdot \Big (\frac{a-2b}{a^2b^2}\Big )^{-1}=\frac{2b-a}{2ab}\cdot \frac{a^2b^2}{a-2b}=\frac{2b-a}{2}\cdot \frac{ab}{-(2b-a)}=-\frac{ab}{2}

Похожие вопросы
Предмет: Математика, автор: kalachikovavika51
Предмет: Математика, автор: denus20091203