Предмет: Алгебра,
автор: Dudeposka
........................
Приложения:
Ответы
Автор ответа:
1
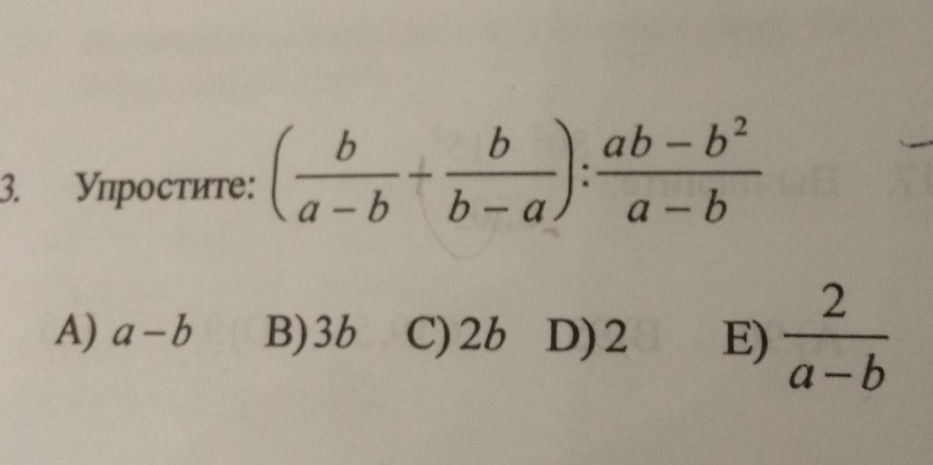
Ответ:
Объяснение:
Похожие вопросы
Предмет: История,
автор: kareykak
Предмет: Физика,
автор: Victor426
Предмет: Геометрия,
автор: bogdankorcak1
Предмет: Литература,
автор: prototip00
Предмет: Алгебра,
автор: hugolucas